Cookie Consent by Cookie Consent by TermsFeed

Adresa

Str. Unirii,nr.157
Loc Tămășeni, Jud. Neamț

E-mail

tamaseni@nt.e-adm.ro
Image

ANUNT IMPORTANT

Anunt privind inchirierea prin licitatie publica a unui teren de 10000mp ce apartine domeniului public al comunei Tamaseni, jud. Neamt
Image

ANUNT IMPORTANT

Anunt privind inchirierea prin licitatie publica a unui teren de 10000mp ce apartine domeniului public al comunei Tamaseni, jud. Neamt
Image

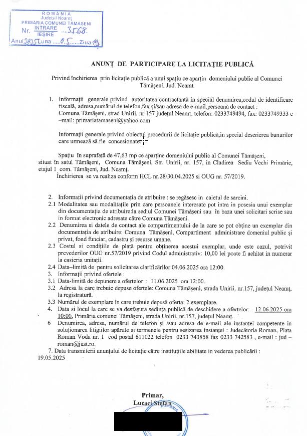
ANUNT IMPORTANT

Anunt privind inchirierea prin licitatie publica a unui spatiu de 47.63mp ce apartine domeniului public al comunei Tamaseni, jud. Neamt
Image

ANUNT IMPORTANT

Anunt privind inchirierea prin licitatie publica a unui spatiu de 47.63mp ce apartine domeniului public al comunei Tamaseni, jud. Neamt
Image

ANUNT IMPORTANT

Anunt privind inchirierea prin licitatie publica a doua spatii ce apartin domeniul public al comunei Tamaseni, jud. Neamt
Image

ANUNT IMPORTANT

Anunt privind inchirierea prin licitatie publica a doua spatii ce apartin domeniul public al comunei Tamaseni, jud. Neamt
Image

ANUNT IMPORTANT

Anunt privind inchirierea prin licitatie publica a doua spatii ce apartin domeniul public al comunei Tamaseni, jud. Neamt
Image

ANUNT IMPORTANT

Anunt privind concesiunea prin licitatie publica a unui teren in suprafat de 1000mp extravilan, domeniul privat al comunei Tamaseni, jud. Neamt
Image

ANUNT IMPORTANT

Anunt privind inchirierea disponibilului de pajisti din patrimoniul privat al comunei Tamaseni
Image

ANUNT IMPORTANT

Ajutor de minimis pentru aplicarea Programului de sustinere a productiei de cartof de consum, in anul 2024
Image

ANUNT LICITATIE PUBLICA

Anunt de participare la licitatie publica
Image

ARHIVA 2023 - ANUNT LICITATIE PUBLICA

Anunt de participare la licitatie publica
Image

ANUNT LEGEA 123/2023

Adresa privind aplicarea Legii 123/2023
Image

ANUNT IN ATENTIA OPERATORILOR ECONOMICI

Adresa MADR
Image

ANUNTURI SI COMUNICATE

Anunt public emitere acord de mediu
Image

ANUNTURI SI COMUNICATE

PNRR: Fonduri pentru Romania moderna si reformata!
Image

ANUNTURI SI COMUNICATE

Anunt de participare la licitatie publica
Image

ANUNTURI SI COMUNICATE

Anunt public privind depunerea solicitarii de emitere a acordului de mediu
Image

ANUNTURI SI COMUNICATE

Comunicare incheiere finală (dezinvestire) civila
Image

ANUNTURI SI COMUNICATE

Anunt de participare la licitatie publica
Image

ANUNTURI SI COMUNICATE

Anunt prealabil privind afisarea publica a documentelor tehnice ale cadastrului
Image

ANUNTURI SI COMUNICATE

Anunt de participare la licitatie publica
Image

ANUNTURI SI COMUNICATE

Informare publica solicitare aviz SGA pentru extindere retea de apa si canal
Image

ANUNTURI SI COMUNICATE

PNRR: Fonduri pentru Romania moderna si reformata!
Image

ANUNTURI SI COMUNICATE

Anunt de participare licitatie publica
Image

ANUNTURI SI COMUNICATE

Producătorii și comercianții de băuturi trebuie să se înregistreze în baza de date a Sistemului de Garanție-Returnare (SGR) până pe 28 februarie
Image

ANUNTURI SI COMUNICATE

Anunt de participare licitatie publica
Image

ANUNTURI SI COMUNICATE

Anunt public privind decizia etapei de incadrare
Image

ANUNTURI SI COMUNICATE

Anunt participare la licitatie publica
Image

ANUNTURI SI COMUNICATE

Anunţ public privind depunerea solicitării de emitere a acordului de mediu
Image

ANUNTURI SI COMUNICATE

Anunt privind depunerea dosarelor pentru incalzirea locuintei
Image

ANUNTURI SI COMUNICATE

Anunt intentie elaborare PUZ

Nr.crt

Documente

Pdf

1

Anunt intentie elaborare PUZ 

Vizualizeaza

2

Raportul Informarii  si Consultarii Publicului  pt. PUZ - depozit materiale  Pirotehnice  28.04.2022

Vizualizeaza